首页>分析测试中心>

《Angew. Chem. Int. Ed》丨用钙金属-有机骨架分离二甲苯异构体

《Angew. Chem. Int. Ed》丨用钙金属-有机骨架分离二甲苯异构体

发布日期:2023-10-24 来源:贝士德仪器

图片

第一作者:Liang Yu

通讯作者:Hao Wang

通讯单位:霍夫曼先进材料研究院

DOI:10.1002/anie.202310672


研究背景

  二甲苯同分异构体是化学工业中重要的有机原料,可用于各种最终用途。特别是,对二甲苯(pX)被用作生产聚酯和聚酰胺的起始化学品。从二甲苯异构体混合物中分离pX是生产高纯度pX以供进一步使用的关键步骤。然而,分离三种物理化学性质非常相似的二甲苯异构体是一项艰巨的挑战,已被列为改变世界的七种化学分离之一。由于它们的沸点几乎相同,通过传统蒸馏有效地分离二甲苯异构体是不现实的,而目前工业上应用的主要分离方法是结晶法和吸附分离法。结晶提纯pX的回收率较低,因此吸附分离的应用较为广泛。然而,目前使用的吸附剂(KBAX)的选择性相对较低,限制了基于吸附的技术的整体效率。因此,开发对二甲苯异构体具有高吸附选择性的新型多孔固体是对二甲苯生产的一项重要而紧迫的任务。

  在这种情况下,与传统的有机和无机吸附剂相比,金属有机框架(MOF)由于其结构多样性和可调节的孔隙尺寸,有望选择性吸附二甲苯异构体。在过去的几年中,通过各种实验技术,包括单组分吸附、多组分柱突破、多组分蒸气/液体吸附和气相色谱法,对许多MOF进行了二甲苯异构体分离的评价。总的来说,能够将所需的pX与邻二甲苯(oX)和间二甲苯(mX)完全分离的吸附剂材料仍然很少。在这里,该研究展示了在工业相关温度(120°C)下,氯苯酸钙骨架(HIAM-203)pX的大量吸附和对其二甲苯异构体的完全排除。HIAM-203对三种二甲苯异构体的吸附行为随温度变化。在30℃时,它可以容纳所有三种异构体,但动力学不同,而在120℃时,只有pX被吸附,这导致了高的pX/mXpX/oX选择性和有效的分离能力,这已被各种实验方法验证。


研究问题

图片

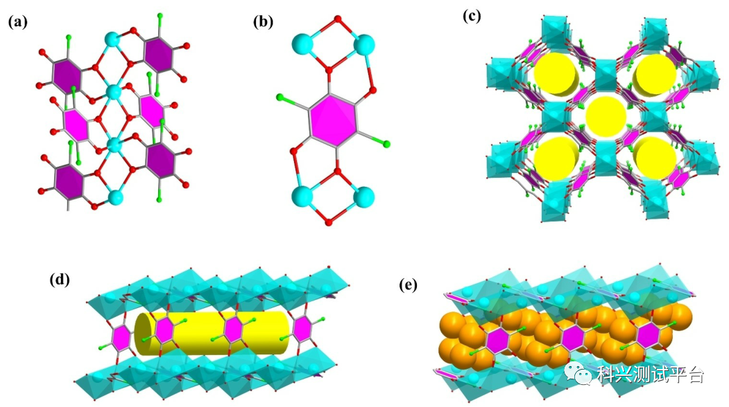
1 HIAM-203的晶体结构:(a) Ca2+的配位环境;(b)每个氯苯甲酸配体与四种不同的Ca2+连接;(c, d) HIAM-2033D结构显示1D开放的菱形通道;(e)通过模拟氦原子的吸附,勾勒出一维通道的形状

要点:

1. HIAM-203是建立在八面体配位Ca2+阵列上的,这些阵列通过氯苯甲酸连接剂进一步连接(1)整体结构具有三维(3D)框架,由氯苯甲酸连接剂中的氯原子装饰的一维菱形通道。HIAM-203在各种有机溶剂中稳定,包括乙腈、异丙醇、二氯甲烷和二甲苯。77 KN2吸附-解吸等温线为I型曲线。


图片


2 (a) pX (b) oX(c) mXHIAM-203306090120150℃时的单组分蒸汽吸附等温线;(d)120℃下对pXoXmX的吸附比较;(e) 120℃pXoXmX的吸附动力学;(f) HIAM203和代表性吸附剂的pX/oXpX/mX选择性


要点:

1. 为了研究HIAM-203对二甲苯异构体的吸附和分离能力,我们在306090120150℃的不同温度下收集了pXoXmX的单组分蒸汽吸附等温线(2a-2c)吸附行为高度依赖于温度,特别是对oXmX。在30°C时,三种二甲苯异构体的吸附均表现为典型的I型。随着温度的升高,对oXmX的吸附量急剧下降。在120°C或更高温度下,HIAM-203基本上不吸附oXmX,但可吸附大量pX(2d)
2. 测定了三种异构体的吸附速率,评价了吸附动力学。虽然三种二甲苯异构体在30°C时都被HIAM-203吸附,但它们的吸附动力学差异很大。因此,在30℃下,HIAM-203可以通过动力学控制机制潜在地区分异构体。120°C下的吸附速率表明,pX25分钟内达到吸附平衡,而oXmX没有明显的吸附,证实了它们被吸附剂完全排除(2e)这些结果验证了HIAM-203能够在120°C下通过尺寸排斥分离二甲苯异构体。

3. 为了定量评价HIAM-203吸附选择性,采用理想吸附溶液理论(IAST)计算了120℃下的吸附等温线对pX/oXpX/mX的选择性。相应的二元等摩尔混合物在120°C1.2 Kpa下的pX/oXpX/mX选择性分别为378.8860.5,这些值大大高于报道的吸附剂(2f)收集在30℃120℃下连续三次对pX的吸附循环,结果表明吸附容量基本没有损失,表明吸附剂具有良好的耐久性。


图片


3 (a) pX/ mX(b) pX/oX等摩尔混合物在120℃时的突破曲线;HIAM-203(c) 120(d) 30°c时二甲苯异构体等摩尔三元混合物的突破曲线


要点:

1.进行多组分突破测量,以评估吸附剂的分离能力。在120℃下,pX/mXpX/oX二元混合物的突破曲线显示,在测量开始时,mXoX从柱中被洗脱出来,表明它们被吸附剂完全排除(3a-3b)。相比之下,pX在柱中滞留超过250分钟才突破。我们进一步评估了HIAM-20330120°C下对等摩尔pX/mX/oX三元混合物的分离能力。在120°C时,mXoX基本没有滞留在柱中,而pX直到327min才析出(3c) pX/ oXpX/mX的选择性分别为211.2171.9。这与单组分吸附结果一致,证实了HIAM-203能够通过选择性分子排斥来区分pX/oX/mX异构体30°C下的突破结果表明,同分异构体也可以分离,mXoX有轻微的保留,这与单组分吸附结果非常吻合(3d)
2. 为了进一步评估HIAM203的分离能力,并将其与基准吸附剂在相似条件下的选择性吸附性能进行比较,所得的pX/oXpX/mX选择性,以及上述由IAST和突破测量计算的选择性,都高于或类似于类似条件下的先前记录(2f)这些结果证实了HIAM-203分离pX与二甲苯异构体的优异性能。

图片

二甲苯同分异构体在Hiam-203内扩散时的能垒。实线/虚线表示可变/固定单元格过渡状态计算


要点:

1.进一步了解HIAM-203中二甲苯异构体的吸附动力学和动力学。研究发现,根据客体分子的大小、形态和浓度,所有的二甲苯异构体都引起了框架的明显变化。为了研究二甲苯与HIAM-203的相互作用,计算了诱导电荷密度(即键形成时电荷的重排),显示出强烈的主客体相互作用。二甲苯异构体主要与包括Cl原子在内的连接体相互作用。这种强相互作用也反映在pXmXoX的结合能分别为1.6271.4731.334 eV上。此外,通过计算客体分子通过HIAM-203孔隙扩散的能量势垒来研究动力学效应。观察到能量势垒与客体分子的大小密切相关;客体分子越小,势垒越低。pX的能垒明显小于其他两种同分异构体,因此使前者更倾向于从混合物中去除(4)


结语 

在这项工作中,展示了柔性MOF在分离二甲苯异构体方面的独特优势,它利用了它依赖于温度和吸附物质的吸附行为。结果表明,以钙离子和氯苯酸酯为载体的HIAM-203对二甲苯异构体表现出明显的吸附行为。120°C时,它吸附pX,但完全排除其异构体mXoX,因此对它们的分离起到分离器的作用。通过单组分吸附等温线、吸附动力学、多组分柱穿透测定、多组分气相/液相吸附实验和从头计算,验证了其分离能力。HIAM-203高且平衡的吸附选择性和吸附能力表明,设计灵活的MOF来挑战同分异构体分离具有巨大的潜力

文章来源:科兴测试平台

全文链接:

https://onlinelibrary.wiley.com/doi/10.1002/anie.202310672

图片

贝士德 吸附表征 全系列测试方案

图片


1、填写《在线送样单》

2、测样、送检咨询:杨老师13810512843(同微信)

3、采购仪器后,测试费可以抵消部分仪器款

《Angew. Chem. Int. Ed》丨用钙金属-有机骨架分离二甲苯异构体

发布日期:2023-10-24 来源:贝士德仪器

图片

第一作者:Liang Yu

通讯作者:Hao Wang

通讯单位:霍夫曼先进材料研究院

DOI:10.1002/anie.202310672


研究背景

  二甲苯同分异构体是化学工业中重要的有机原料,可用于各种最终用途。特别是,对二甲苯(pX)被用作生产聚酯和聚酰胺的起始化学品。从二甲苯异构体混合物中分离pX是生产高纯度pX以供进一步使用的关键步骤。然而,分离三种物理化学性质非常相似的二甲苯异构体是一项艰巨的挑战,已被列为改变世界的七种化学分离之一。由于它们的沸点几乎相同,通过传统蒸馏有效地分离二甲苯异构体是不现实的,而目前工业上应用的主要分离方法是结晶法和吸附分离法。结晶提纯pX的回收率较低,因此吸附分离的应用较为广泛。然而,目前使用的吸附剂(KBAX)的选择性相对较低,限制了基于吸附的技术的整体效率。因此,开发对二甲苯异构体具有高吸附选择性的新型多孔固体是对二甲苯生产的一项重要而紧迫的任务。

  在这种情况下,与传统的有机和无机吸附剂相比,金属有机框架(MOF)由于其结构多样性和可调节的孔隙尺寸,有望选择性吸附二甲苯异构体。在过去的几年中,通过各种实验技术,包括单组分吸附、多组分柱突破、多组分蒸气/液体吸附和气相色谱法,对许多MOF进行了二甲苯异构体分离的评价。总的来说,能够将所需的pX与邻二甲苯(oX)和间二甲苯(mX)完全分离的吸附剂材料仍然很少。在这里,该研究展示了在工业相关温度(120°C)下,氯苯酸钙骨架(HIAM-203)pX的大量吸附和对其二甲苯异构体的完全排除。HIAM-203对三种二甲苯异构体的吸附行为随温度变化。在30℃时,它可以容纳所有三种异构体,但动力学不同,而在120℃时,只有pX被吸附,这导致了高的pX/mXpX/oX选择性和有效的分离能力,这已被各种实验方法验证。


研究问题

图片

1 HIAM-203的晶体结构:(a) Ca2+的配位环境;(b)每个氯苯甲酸配体与四种不同的Ca2+连接;(c, d) HIAM-2033D结构显示1D开放的菱形通道;(e)通过模拟氦原子的吸附,勾勒出一维通道的形状

要点:

1. HIAM-203是建立在八面体配位Ca2+阵列上的,这些阵列通过氯苯甲酸连接剂进一步连接(1)整体结构具有三维(3D)框架,由氯苯甲酸连接剂中的氯原子装饰的一维菱形通道。HIAM-203在各种有机溶剂中稳定,包括乙腈、异丙醇、二氯甲烷和二甲苯。77 KN2吸附-解吸等温线为I型曲线。


图片


2 (a) pX (b) oX(c) mXHIAM-203306090120150℃时的单组分蒸汽吸附等温线;(d)120℃下对pXoXmX的吸附比较;(e) 120℃pXoXmX的吸附动力学;(f) HIAM203和代表性吸附剂的pX/oXpX/mX选择性


要点:

1. 为了研究HIAM-203对二甲苯异构体的吸附和分离能力,我们在306090120150℃的不同温度下收集了pXoXmX的单组分蒸汽吸附等温线(2a-2c)吸附行为高度依赖于温度,特别是对oXmX。在30°C时,三种二甲苯异构体的吸附均表现为典型的I型。随着温度的升高,对oXmX的吸附量急剧下降。在120°C或更高温度下,HIAM-203基本上不吸附oXmX,但可吸附大量pX(2d)
2. 测定了三种异构体的吸附速率,评价了吸附动力学。虽然三种二甲苯异构体在30°C时都被HIAM-203吸附,但它们的吸附动力学差异很大。因此,在30℃下,HIAM-203可以通过动力学控制机制潜在地区分异构体。120°C下的吸附速率表明,pX25分钟内达到吸附平衡,而oXmX没有明显的吸附,证实了它们被吸附剂完全排除(2e)这些结果验证了HIAM-203能够在120°C下通过尺寸排斥分离二甲苯异构体。

3. 为了定量评价HIAM-203吸附选择性,采用理想吸附溶液理论(IAST)计算了120℃下的吸附等温线对pX/oXpX/mX的选择性。相应的二元等摩尔混合物在120°C1.2 Kpa下的pX/oXpX/mX选择性分别为378.8860.5,这些值大大高于报道的吸附剂(2f)收集在30℃120℃下连续三次对pX的吸附循环,结果表明吸附容量基本没有损失,表明吸附剂具有良好的耐久性。


图片


3 (a) pX/ mX(b) pX/oX等摩尔混合物在120℃时的突破曲线;HIAM-203(c) 120(d) 30°c时二甲苯异构体等摩尔三元混合物的突破曲线


要点:

1.进行多组分突破测量,以评估吸附剂的分离能力。在120℃下,pX/mXpX/oX二元混合物的突破曲线显示,在测量开始时,mXoX从柱中被洗脱出来,表明它们被吸附剂完全排除(3a-3b)。相比之下,pX在柱中滞留超过250分钟才突破。我们进一步评估了HIAM-20330120°C下对等摩尔pX/mX/oX三元混合物的分离能力。在120°C时,mXoX基本没有滞留在柱中,而pX直到327min才析出(3c) pX/ oXpX/mX的选择性分别为211.2171.9。这与单组分吸附结果一致,证实了HIAM-203能够通过选择性分子排斥来区分pX/oX/mX异构体30°C下的突破结果表明,同分异构体也可以分离,mXoX有轻微的保留,这与单组分吸附结果非常吻合(3d)
2. 为了进一步评估HIAM203的分离能力,并将其与基准吸附剂在相似条件下的选择性吸附性能进行比较,所得的pX/oXpX/mX选择性,以及上述由IAST和突破测量计算的选择性,都高于或类似于类似条件下的先前记录(2f)这些结果证实了HIAM-203分离pX与二甲苯异构体的优异性能。

图片

二甲苯同分异构体在Hiam-203内扩散时的能垒。实线/虚线表示可变/固定单元格过渡状态计算


要点:

1.进一步了解HIAM-203中二甲苯异构体的吸附动力学和动力学。研究发现,根据客体分子的大小、形态和浓度,所有的二甲苯异构体都引起了框架的明显变化。为了研究二甲苯与HIAM-203的相互作用,计算了诱导电荷密度(即键形成时电荷的重排),显示出强烈的主客体相互作用。二甲苯异构体主要与包括Cl原子在内的连接体相互作用。这种强相互作用也反映在pXmXoX的结合能分别为1.6271.4731.334 eV上。此外,通过计算客体分子通过HIAM-203孔隙扩散的能量势垒来研究动力学效应。观察到能量势垒与客体分子的大小密切相关;客体分子越小,势垒越低。pX的能垒明显小于其他两种同分异构体,因此使前者更倾向于从混合物中去除(4)


结语 

在这项工作中,展示了柔性MOF在分离二甲苯异构体方面的独特优势,它利用了它依赖于温度和吸附物质的吸附行为。结果表明,以钙离子和氯苯酸酯为载体的HIAM-203对二甲苯异构体表现出明显的吸附行为。120°C时,它吸附pX,但完全排除其异构体mXoX,因此对它们的分离起到分离器的作用。通过单组分吸附等温线、吸附动力学、多组分柱穿透测定、多组分气相/液相吸附实验和从头计算,验证了其分离能力。HIAM-203高且平衡的吸附选择性和吸附能力表明,设计灵活的MOF来挑战同分异构体分离具有巨大的潜力

文章来源:科兴测试平台

全文链接:

https://onlinelibrary.wiley.com/doi/10.1002/anie.202310672

图片

贝士德 吸附表征 全系列测试方案

图片


1、填写《在线送样单》

2、测样、送检咨询:杨老师13810512843(同微信)

3、采购仪器后,测试费可以抵消部分仪器款