




液柱分离实验

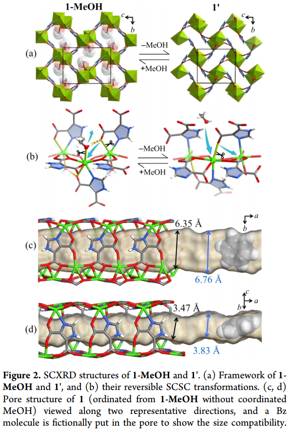
综上所述,本文设计并合成了一种柔性MOF材料,利用优先吸附的配位客体的门控效应,在不同的MeOH/Bz混合物中实现MeOH对Bz超高的吸附选择性。此外,在环境条件下,单次吸附不仅可以获得高纯度的Bz,而且在吸附-解吸过程中可以获得高纯度的高吸附容量的MeOH。值得注意的是,MOF由廉价的原材料组成,可以简单地大规模合成,这凸显了它在工业应用中的可行性,该材料不仅可以用于吸附分离,还可以应用于膜分离领域。此外,这项工作对于未来解决相对实际的动力学扩散问题具有良好的启示作用。
文章链接:https://doi.org/10.1021/jacs.3c13480
贝士德 吸附表征 全系列测试方案

测样、送检咨询:杨老师
138 1051 2843(同微信)
【JACS】柔性MOFs用于甲醇/苯共沸物筛分分离
发布日期:2024-05-16 来源:贝士德仪器





液柱分离实验

综上所述,本文设计并合成了一种柔性MOF材料,利用优先吸附的配位客体的门控效应,在不同的MeOH/Bz混合物中实现MeOH对Bz超高的吸附选择性。此外,在环境条件下,单次吸附不仅可以获得高纯度的Bz,而且在吸附-解吸过程中可以获得高纯度的高吸附容量的MeOH。值得注意的是,MOF由廉价的原材料组成,可以简单地大规模合成,这凸显了它在工业应用中的可行性,该材料不仅可以用于吸附分离,还可以应用于膜分离领域。此外,这项工作对于未来解决相对实际的动力学扩散问题具有良好的启示作用。
文章链接:https://doi.org/10.1021/jacs.3c13480
贝士德 吸附表征 全系列测试方案

测样、送检咨询:杨老师
138 1051 2843(同微信)